৬ষ্ঠ অধ্যায়ঃ সরল সহ-সমীকরণ | ৮ম শ্রেণি গণিত বই সম্পূর্ণ সমাধান | Class Eight (08) Math Book Solution | Chapter 06 : Simple co-equation| Class 8 math book Online Solution in Bangla (BD)
৬ষ্ঠ অধ্যায়ঃ সরল সহ-সমীকরণ | অনুশীলনী ৬.১ – PDF
৬ষ্ঠ অধ্যায়ঃ সরল সহ-সমীকরণ | অনুশীলনী ৬.১ এর সকল প্রশ্ন ও উত্তর এখানে রয়েছে। ৮ম শ্রেণি সম্পূর্ণ গণিত বই সমাধান
৮ম শ্রেণির গণিত ৬ষ্ঠ অধ্যায় অনুশীলনী ৬.১ প্রশ্ন ও সমাধান
সরল সহ-সমীকরণ (প্রতিস্থাপন পদ্ধতি):
(ক) প্রতিস্থাপন পদ্ধতিতে সমাধান কর (১-১২):
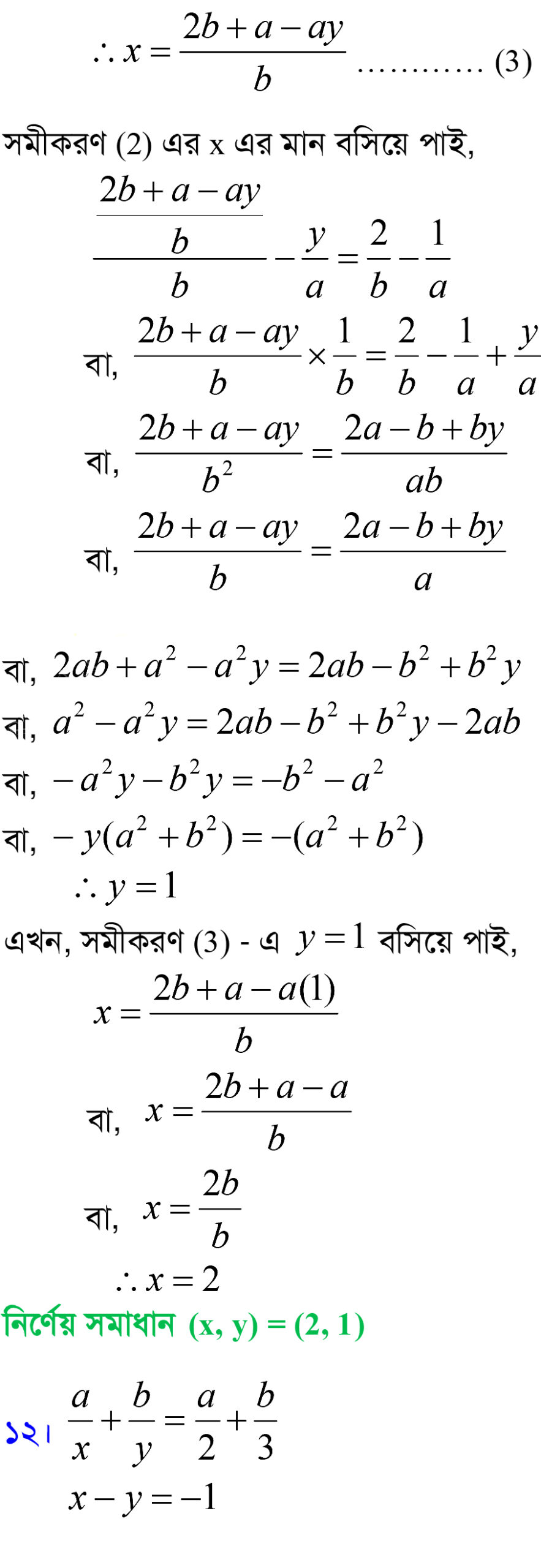
১.
x+y=4
x-y=2
সমাধানঃ
x+y=4………(i)
x-y=2………..(ii)
(ii) হতে পাই,
x=2+y…….(iii)
এখন, x এর মান (i) নং এ বসিয়ে পাই,
2+y+y=4
বা, 2+2y=4
বা, 2(1+y)=4
বা, 1+y=4/2
বা, 1+y=2
বা, y=2-1
বা, y=1
এখন y এর মান (iii) নং এ বসিয়ে পাই,
x=2+1
বা, x=3
২.
2x+y=5
x-y=1
সমাধানঃ
2x+y=5…….(i)
x-y=1…….(ii)
(ii) হতে পাই,
x=1+y…….(iii)
এখন, x এর মান (i) নং এ বসিয়ে পাই,
2(1+y)+y=5
বা, 2+2y+y=5
বা, 2+3y=5
বা, 3y=5-2
বা, 3y=3
বা, y=3/3
বা, y=1
এখন y এর মান (iii) নং এ বসিয়ে পাই,
x=1+1
বা, x=2
∴ (x,y)=(2,1)
৩.
3x+2y=10
x-y=0
সমাধানঃ
3x+2y=10……(i)
x-y=0……….(ii)
(ii) হতে পাই,
x=y…….(iii)
এখন, x এর মান (i) নং এ বসিয়ে পাই
3y+2y=10
বা, 5y=10
বা, y=10/5
বা, y=2
এখন y এর মান (iii) নং এ বসিয়ে পাই,
x=2
∴ (x,y)=(2,2)



৫.
3x-2y=0
17x-7y=13
সমাধানঃ
3x-2y=0…………(i)
17x-7y=13……….(ii)
(ii) হতে পাই,
17x=13+7y
13+7y
বা, x=————…….(iii)
17
এখন, x এর মান (i) নং এ বসিয়ে পাই
13+7y
3✕———— – 2y=0
17
3(13+7y)-17.2y
বা, ———————– = 0
17
বা, 39+21y-34y=0
বা, 39-13y=0
বা, -13y=-39
বা, 13y=39
বা, y=39/13
বা, y=3
এখন y এর মান (i) নং এ বসিয়ে পাই
3x-2.3=0
বা, 3x-6=0
বা, 3x=6
বা, x=6/3
বা, x=2
∴ (x,y)=(2,3)
৬.
x-y=2a
ax+by=a2+b2
সমাধানঃ
x-y=2a……………..(i)
ax+by=a2+b2…………(ii)
(i) হতে পাই,
x=2a+y…….(iii)
এখন, x এর মান (ii) নং এ বসিয়ে পাই,
a(2a+y)+by=a2+b2
বা, 2a2+ay+by-a2-b2=0
বা, a2-b2+ay+by=0
বা, ay+by=b2-a2
বা, y(a+b)=(b-a)(b+a)
বা, y=b-a
এখন y এর মান (i) নং এ বসিয়ে পাই
x-(b-a)=2a
বা, x=2a+b-a
বা, x=a+b
∴ (x,y)=(a+b, b-a)
৭.
ax+by=ab
bx+ay=ab
সমাধানঃ
ax+by=ab…….(i)
bx+ay=ab……..(ii)
(i), (ii) হতে পাই,
ax+by=bx+ay
বা, ax-bx=ay-by
বা, x(a-b)=y(a-b)
বা, x=y……………..(iii)
এখন x এর মান (i) নং এ বসিয়ে পাই,
ay+by=ab
বা, y(a+b)=ab
ab
বা, y=———–
a+b
এখন, x=y
∴ (x,y) | = | ( | ab ——–, a+b | ab ——– a+b | ) |
৮.
ax-by=ab
bx-ay=ab
সমাধানঃ
ax-by=ab………(i)
bx-ay=ab……….(ii)
(i), (ii) হতে পাই,
ax-by= bx-ay
বা, ax-bx=-ay+by
বা, x(a-b)=-y(a-b)
বা, x=-y……….(iii)
এখন x এর মান (i) নং এ বসিয়ে পাই,
a(-y)-by=ab
বা, -ay-by=ab
বা, -y(a+b)=ab
বা, y(a+b)=-ab
-ab
বা, y=———–
a+b
y এর মান (iii) নং এ বসিয়ে পাই,
ab
x =———–
a+b
∴ (x,y) | = | ( | ab ——–, a+b | – ab ——– a+b | ) |
৯.
ax-by=a-b
ax+by=a+b
সমাধানঃ
ax-by=a-b…………(i)
ax+by=a+b……….(ii)
(i) হতে পাই,
ax=a-b-by
a-b-by
বা, x=————–……(iii)
a
এখন x এর মান (ii) নং এ বসিয়ে পাই,
a-b+by
a.————-+by=a+b
a
বা, a-b+by+by=a+b
বা, 2by=a+b-a+b
বা, 2by=2b
বা, 2y=2
বা, y=2/2
বা, y=1
এখন y এর মান (iii) নং এ বসিয়ে পাই,
a-b-b.1
x=————–
a
বা, ax=a-b-b
বা, ax=a
বা, x=a/a
বা, x=1
∴ (x,y)=(1, 1)






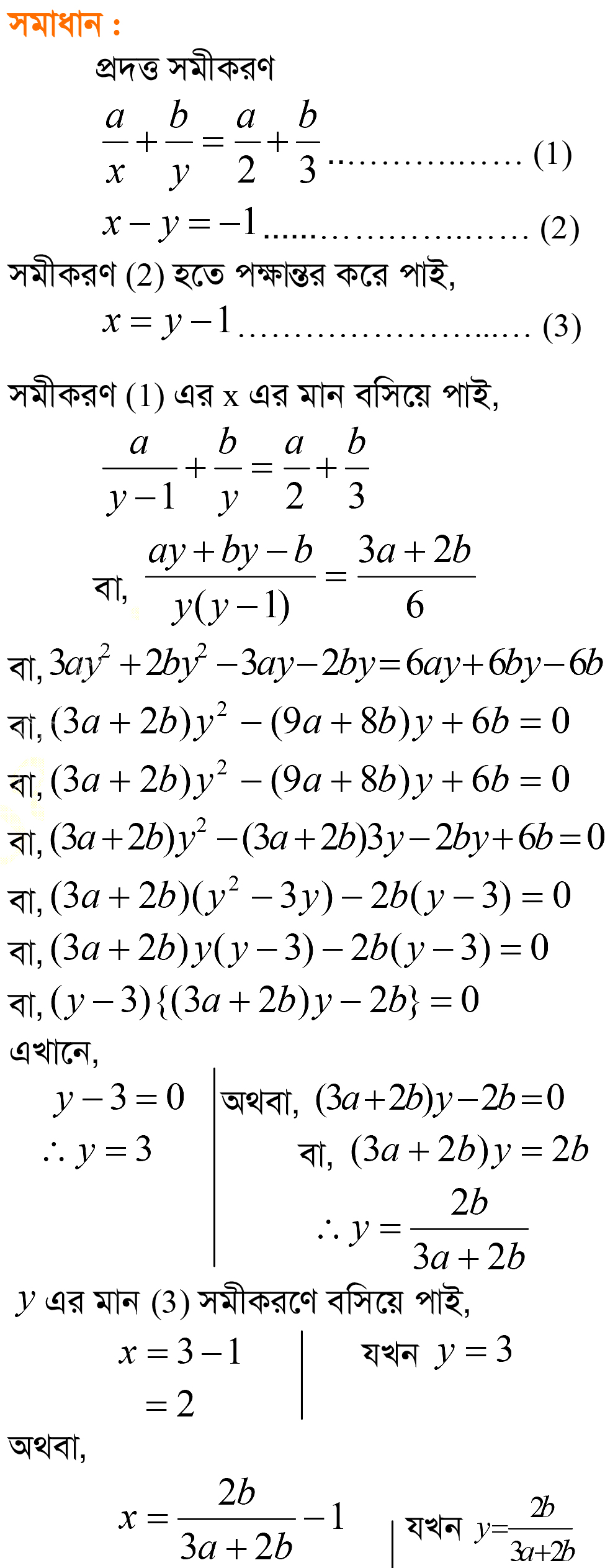
(খ) অপনয়ন পদ্ধতিতে সমাধান কর (১৩-২৬):
১৩.
x-y=4
x+y=6
সমাধানঃ
x-y=4………(i)
x+y=6………..(ii)
2x =10 (যোগ করে)
বা, x=10/2
বা, x=5
x এর মান (i) নং এ বসিয়ে পাই,
5-y=4
বা, -y=4-5
বা, -y=-1
বা, y=1
১৪.
2x+3y=7
6x-7y=5
সমাধানঃ
2x+3y=7………..(i)
6x-7y=5…………(ii)
(i) নং কে 3 দ্বারা ও (ii) নং কে 1 দ্বারা গুণ করে পাই,
6x+9y=21………..(iii)
6x-7y=5…………(iv)
16y=16 (বিয়োগ করে)
বা, y=16/16
বা, y=1
y এর মান (i) নং এ বসিয়ে পাই,
2x+3.1=7
বা, 2x+3=7
বা, 2x=7-3
বা, 2x=4
বা, x=4/2
বা, x=2
∴ (x,y)=(2,1)
১৫.
4x+3y=15
5x+4y=19
সমাধানঃ
4x+3y=15………..(i)
5x+4y=19…………(ii)
(i) নং কে 4 দ্বারা ও (ii) নং কে 3 দ্বারা গুণ করে পাই,
16x+12y=60
15x+12y=57
x = 3 (বিয়োগ করে)
x এর মান (i) নং এ বসিয়ে পাই,
4.3+3y=15
বা, 12+3y=15
বা, 3y=15-12
বা, 3y=3
বা, y=3/3
বা, y=1
∴ (x,y)=(3,1)
১৬.
3x-2y=5
2x+3y=12
সমাধানঃ
3x-2y=5……………..(i)
2x+3y=12……………..(ii)
(i) নং কে 3 দ্বারা ও (ii) নং কে 2 দ্বারা গুণ করে পাই,
9x-6y=15
4x+6y=24
13x=39 (যোগ করে)
বা, x=39/13
বা, x=3
x এর মান (i) নং এ বসিয়ে পাই,
3.3-2y=5
বা, 9-2y=5
বা, -2y=5-9
বা, -2y=-4
বা, 2y=4
বা, y=4/2
বা, y=2
∴ (x,y)=(3,2)
১৭.
4x-3y=-1
3x-2y=0
সমাধানঃ
4x-3y=-1…………..(i)
3x-2y=0……………….(ii)
(i) নং কে 2 দ্বারা ও (ii) নং কে 3 দ্বারা গুণ করে পাই,
8x-6y=-2
9x-6y=0
-x=-2 (বিয়োগ করে)
বা, x=2
x এর মান (i) নং এ বসিয়ে পাই,
4.2-3y=-1
বা, 8-3y=-1
বা, -3y=-1-8
বা, -3y=-9
বা, 3y=9
বা, y=9/3
বা, y=3
∴ (x,y)=(2,3)
১৮.
3x-5y=-9
5x-3y=1
সমাধানঃ
3x-5y=-9……….(i)
5x-3y=1………..(ii)
(i) নং কে 3 দ্বারা ও (ii) নং কে 5 দ্বারা গুণ করে পাই,
9x-15y=-27
25x-15y=5
-16x=-32 (বিয়োগ করে)
বা, 16x=32
বা, x=32/16
বা, x=2
x এর মান (i) নং এ বসিয়ে পাই,
3.2-5y=-9
বা, 6-5y=-9
বা, -5y=-9-6
বা, -5y=-15
বা, 5y=15
বা, y=15/5
বা, y=3
∴ (x,y)=(2,3)


২০.
x+ay=b
ax-by=c
সমাধানঃ
x+ay=b………..(i)
ax-by=c………..(ii)
(i) নং কে a দ্বারা ও (ii) নং কে 1 দ্বারা গুণ করে পাই,
ax+a2y=ab
ax-by=c
———————————
a2y+by=ab-c (- করে)
বা, y(a2+b)=ab-c
ab-c
বা, y=————-
a2+b
| y এর মান (i) নং এ বসিয়ে পাই, |
ab-c
x+a————= b
a2+b
x(a2+b)+a(ab-c)
বা, ————————— = b
a2+b
বা, x(a2+b)+a(ab-c)=b(a2+b)
বা, x(a2+b)= b(a2+b)- a(ab-c)
বা, x(a2+b)= ba2+b2-a2b+ac
বা, x(a2+b)= b2+ac
b2+ac
বা, x=———–
a2+b
∴ (x,y)= | ( | b2+ac ———, a2+b | ab-c ———- a2+b | ) |
২৬.
x+y=a-b
ax-by=a2+b2
সমাধানঃ
x+y=a-b………….(i)
ax-by=a2+b2………(ii)
(i) নং কে b দ্বারা ও (ii) নং কে 1 দ্বারা গুণ করে পাই,
bx+by=ab-b2
ax-by=a2+b2
bx+ax=ab-b2+a2+b2 (যোগ করে)
বা, x(a+b)=ab+a2
বা, x(a+b)=a(b+a)
বা, x = a
x এর মান (i) নং এ বসিয়ে পাই,
a+y=a-b
বা, y=a-b-a
বা, y=-b
∴ (x,y)=(a,-b)
| Class 8 math book all chapter solution Bangla version pdf | ৮ম শ্রেণি গণিত বই সম্পূর্ণ সমাধান PDF |
tags: Bangladesh, Bangla, Bengali, Class 8/jsc math solution 2021 pdf, 8th class maths guide pdf free download, math book solution BD, class 8 srijonshil math, Chapter 6.1 সরল সহ-সমীকরণ


